40.深度优先搜索¶
在上一章中,你看了广度优先搜索(BFS),在这一章中,你必须在进入下一层次之前探索一个顶点的每一个邻居。在本章中,你将了解depth-first search (DFS),这是一种用于遍历或搜索图形的算法。
DFS有很多的应用:
- 拓扑结构的排序。
- 检测一个周期。
- 寻路,比如在迷宫游戏中。
- 寻找稀疏图中的连接组件。
为了执行DFS,你从一个给定的源顶点开始,试图尽可能地探索一个分支,直到你到达终点。在这一点上,你会backtrack(后退一步)并探索下一个可用的分支,直到你找到你正在寻找的东西或你已经访问了所有的顶点。
示例¶
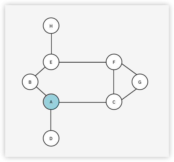
让我们来看看DFS的例子。下面的例子图与前一章相同。这是为了让你看到BFS和DFS之间的区别。

你将使用一个stack来记录你所移动的关卡。堆栈的last-in-first-out方法有助于回溯。栈上的每一个push都意味着你向更深的层次移动。如果你走到了死胡同,你可以pop返回到前一关。

- 和上一章一样,你选择
A作为起始顶点,并将其加入堆栈。 - 只要堆栈不是空的,你就访问堆栈上的顶点,并推送尚未访问的第一个邻近顶点。在这种情况下,你访问
A并推送B。
Note
回顾上一章,添加边的顺序会影响搜索的结果。在本例中,添加到A的第一条边是到B的一条边,所以B被首先推送。

- 你访问了
B并推了E,因为A已经被访问了。 - 你访问
E并推送F。
请注意,每次你在堆栈中推送,你都会在一个分支中前进得更远。你不是访问每一个相邻的顶点,而是继续沿着一条路径前进,直到到达终点,然后回溯。

- 你访问
F并推动G。 - 你访问
G并推C。

- 下一个要访问的顶点是
C。它有邻居[A, F, G],但所有这些都已经被访问过了。你已经到达了一个死胡同,所以现在是时候从堆栈中弹出C进行回溯了。 - 这使你回到了
G。它有邻居[F, C],但所有这些都已经被访问过。另一个死胡同,弹出G。

F也没有剩余的未访问的邻居,所以弹出F。- 现在,你回到了
E处。它的邻居H仍然没有被访问,所以你把H推到栈上。

- 访问
H的结果是另一个死胡同,所以弹出H。 E也没有任何可用的邻居,所以弹出它。

- 对
B来说也是如此,所以弹出B。 - 这使你回到了
A,它的邻居D仍然需要被访问,所以你把D推到栈上。

- 访问
D的结果是另一个死胡同,所以弹出D。 - 你回到
A,但这次没有可用的邻居可以推送,所以你弹出A。堆栈现在是空的,DFS已经完成。
在探索顶点时,你可以构建一个树状结构,显示你所访问的分支。你可以看到与BFS相比,DFS走得有多深。

实施¶
打开本章的启动playground。这个playground包含一个图形的实现,以及一个堆栈,你将用它来实现DFS。
在你的主playground文件中,你会注意到一个预先建立的样本图。添加以下内容:
extension Graph where Element: Hashable {
func depthFirstSearch(from source: Vertex<Element>)
-> [Vertex<Element>] {
var stack: Stack<Vertex<Element>> = []
var pushed: Set<Vertex<Element>> = []
var visited: [Vertex<Element>] = []
stack.push(source)
pushed.insert(source)
visited.append(source)
// more to come ...
return visited
}
}
在这里,你定义了一个方法depthFirstSearch(from:),它接收一个起始顶点,并按照访问的顺序返回一个顶点的列表。它使用了三个数据结构。
stack用于存储你在图中的路径。pushed记住哪些顶点以前被推过,这样你就不会访问同一个顶点两次。它是一个Set,以确保快速O(1)查找。visited是一个数组,存储顶点被访问的顺序。
为了开始这个算法,你把source顶点加入到所有三个顶点中。
接下来,通过将注释替换为:完成该方法:
outer: while let vertex = stack.peek() { // 1
let neighbors = edges(from: vertex) // 2
guard !neighbors.isEmpty else { // 3
stack.pop()
continue
}
for edge in neighbors { // 4
if !pushed.contains(edge.destination) {
stack.push(edge.destination)
pushed.insert(edge.destination)
visited.append(edge.destination)
continue outer // 5
}
}
stack.pop() // 6
}
以下是发生的情况:
- 你继续检查堆栈顶部的顶点,直到堆栈为空。你把这个循环标记为
outer,这样你就有办法继续到下一个顶点,即使是在嵌套循环中。 - 你找到当前顶点的所有邻接边。
- 如果没有边,你就从堆栈中弹出顶点并继续下一个顶点。
- 在这里,你循环浏览与当前顶点相连的每一条边,并检查是否已经看到了邻近的顶点。如果没有,你就把它推到堆栈中,并把它加入到
visited数组中。把这个顶点标记为被访问的顶点似乎有点为时过早(你还没有偷看过它),但是,由于顶点是按照被添加到堆栈的顺序被访问的,所以它的结果是正确的。 - 现在你已经找到了一个要访问的邻居,你继续进行
outer循环并移动到新推的邻居。 - 如果当前顶点没有任何未访问的邻居,你知道你已经到达了一个死胡同,可以把它从堆栈中弹出。
一旦堆栈为空,DFS算法就完成了!你所要做的就是按照访问过的顶点的顺序返回。你所要做的就是按照你访问的顺序返回所访问的顶点。
为了尝试你的代码,请在playground上添加以下内容:
let vertices = graph.depthFirstSearch(from: a)
vertices.forEach { vertex in
print(vertex)
}
请注意,使用DFS的访问节点的顺序:
0: A
1: B
4: E
5: F
6: G
2: C
7: H
3: D
性能¶
DFS将至少访问每个顶点一次。这个过程的时间复杂度为O(V)。
在DFS中遍历一个图形时,你必须检查所有相邻的顶点以找到一个可供访问的顶点。这方面的时间复杂度为O(E),因为在最坏的情况下,你必须访问图中的每一条边。
总的来说,深度优先搜索的时间复杂度是O(V+E)。
深度优先搜索的空间复杂度是O(V),因为你必须在三个独立的数据结构中存储顶点:stack、pushed和visited。
关键点¶
- 深度优先搜索(
DFS)是另一种遍历或搜索图的算法。 DFS尽可能地探索一个分支,直到它到达终点。- 利用一个堆栈数据结构来跟踪你在图中的深度。只有当你到达死胡同时才会弹出堆栈。