39.广度优先搜索的挑战¶
挑战1:最大队列规模¶
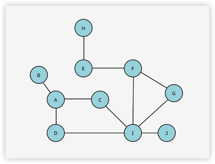
对于下面这个无向图,请列出队列中的maximum项目数。假设起始顶点是A。

挑战2:迭代式BFS¶
在这一章中,你讨论了广度优先搜索的迭代实现。现在写一个递归实现。
挑战3:断开连接的图形¶
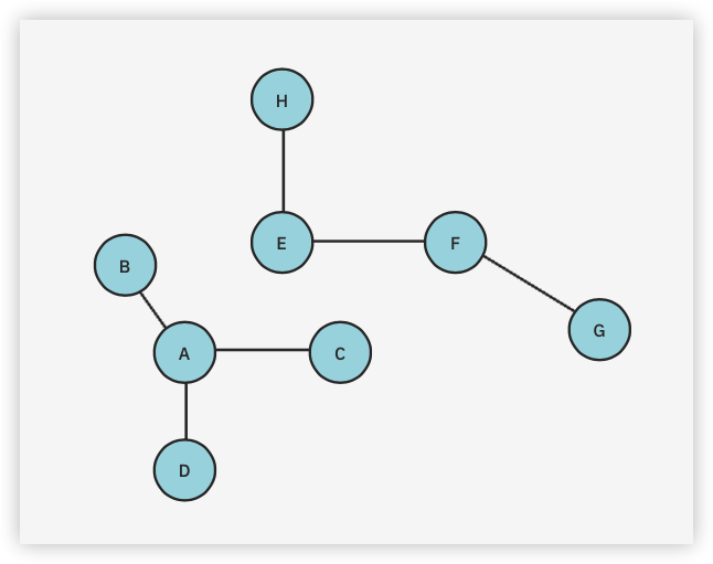
给Graph添加一个方法,以检测图是否断开连接。下面是一个断开连接的图的例子:

为了帮助你解决这个难题,在Graph协议中增加了一个属性allVertices:
var allVertices: [Vertex<Element>] { get }
这个属性已经由AdjacencyMatrix和AdjacencyList实现了。
解决方案¶
挑战1的解决方案¶
队列中的最大项目数是3。
挑战2的解决方案¶
在广度优先搜索一章中,你学到了如何迭代实现该算法的方法。我们来看看如何递归地实现它。
extension Graph where Element: Hashable {
func bfs(from source: Vertex<Element>) -> [Vertex<Element>] {
var queue = QueueStack<Vertex<Element>>() // 1
var enqueued: Set<Vertex<Element>> = [] // 2
var visited: [Vertex<Element>] = [] // 3
// 4
queue.enqueue(source)
enqueued.insert(source)
// 5
bfs(queue: &queue, enqueued: &enqueued, visited: &visited)
// 6
return visited
}
}
bfs接受source顶点以开始穿越:
queue跟踪接下来要访问的邻近顶点。enqueued记住哪些顶点已经被添加到队列中。你可以使用Set进行O(1)查询。一个数组是O(n)。visited是一个数组,存储顶点被探索的顺序。- 通过插入
source顶点来启动算法。 - 通过调用一个辅助函数在图上递归地执行
bfs。 - 按顺序返回所访问的顶点。
这个辅助函数看起来像这样:
private func bfs(queue: inout QueueStack<Vertex<Element>>,
enqueued: inout Set<Vertex<Element>>,
visited: inout [Vertex<Element>]) {
guard let vertex = queue.dequeue() else { // 1
return
}
visited.append(vertex) // 2
let neighborEdges = edges(from: vertex) // 3
neighborEdges.forEach { edge in
if !enqueued.contains(edge.destination) { // 4
queue.enqueue(edge.destination)
enqueued.insert(edge.destination)
}
}
// 5
bfs(queue: &queue, enqueued: &enqueued, visited: &visited)
}
Base case,递归地继续从队列中提取一个顶点,直到它为空。- 将顶点标记为已访问。
- 对于来自当前
vertex的每一条邻接边。 - 在插入队列之前,检查相邻顶点是否已被访问。
- 递归地执行
bfs,直到队列为空。
广度优先搜索的总体时间复杂度为O(V+E)。
挑战3的解决方案¶
如果两个节点之间不存在路径,则称该图为断开连接。
extension Graph where Element: Hashable {
func isDisconnected() -> Bool {
guard let firstVertex = allVertices.first else { // 1
return false
}
let visited = breadthFirstSearch(from: firstVertex) // 2
for vertex in allVertices { // 3
if !visited.contains(vertex) {
return true
}
}
return false
}
}
- 如果没有顶点,将该图视为连接图。
- 从第一个顶点开始进行广度优先搜索。这个过程将返回所有被访问的节点。
- 遍历图中的每一个顶点,检查它是否曾经被访问过。
如果在visited集合中缺少一个顶点,那么该图就是断开的。